Сохраняется ли индивидуальный тип мышечного ответа в ходе повторных периодов тренировки?
Автор — Джеймс Кригер, исследователь, лектор, издатель Weightology Research Review.
Дисклеймер: переводные статьи размещаются на сайте FPA с целью расширения кругозора. Мнение авторов статей может не совпадать с позицией FPA.
Рассматриваемое исследование: Повторные силовые тренировки показывают воспроизводимость отклика в виде изменений мышечной массы и силы у отдельных индивидуумов. Räntilä et al., 2025
Как показало недавнее исследование, ответ на тренировку в виде роста силы и размера мышц у нетренированных людей повторяется, что указывает на индивидуальность ответной реакции. Отсутствие реакции наблюдается у очень малого числа участников.
Краткий обзор
-
Что анализировали? Нетренированные участники прошли 10-недельный курс силовых тренировок, затем — 10-недельный период без тренировок, а потом — еще один 10-недельный курс тренировок. Исследователи сравнили изменения силы и размера мышц после первого и второго курса.
-
Что обнаружили? Изменение силы и размера мышц в двух тренировочных периодах коррелировали у каждого участника. Хотя было несколько участников без ответной реакции на нагрузку, реакция отсутствовала лишь по одному параметру. У лиц с наибольшими прибавками силы и массы наблюдалось наибольшее снижение результатов в период без тренировок.
-
Что это значит для вас? По-видимому, верно утверждение, что люди по-разному реагируют на силовые тренировки в плане увеличения размера и силы мышц. Некоторые люди реагируют на тренировки больше, чем другие. Вероятно, выраженность реакции связана как с генетикой, так и с другими факторами — например, с питанием, сном и т. д. Однако истинная невосприимчивость к нагрузке (когда у человека практически нет прироста ни силы, ни размера мышц) встречается крайне редко. Так же редко встречается и экстремальная восприимчивость к тренировкам. Не следует оценивать свою реакцию по результатам лишь одного периода силовых тренировок или только по одному параметру, так как это может привести к неверной оценке. Кроме того, люди, которые быстро адаптируются к нагрузке, как правило, и теряют адаптацию тоже быстрее. Наконец, во время перерыва в тренировках размер мышц обычно уменьшается быстрее, чем силовые показатели.
Суть проблемы
Цель
Как можно видеть в жизни, одни люди лучше реагируют на тренировки, чем другие. Возможно, ваш партнер по тренажерному залу растет просто от того, что смотрит на штангу, в то время как вы занимаетесь до изнеможения, чтобы после многих лет упорной работы выглядеть хотя бы чуть более атлетично. Кажется интуитивно понятным, что у людей разная реакция на тренировки. А также разная наследственность и разные условия жизни. Эти различия в реакции наблюдаются и в научных исследованиях: например, изменения размера мышц от ‒11% до +59% при одной и той же программе тренировок [1, 2], а также изменения силы от ‒8% до +250% [2].
Такие различия в реакции возникают по трем причинам: погрешность измерения, биологическая погрешность и биологическая вариабельность. Погрешность измерения — это разница в измерениях, которая возможна как между разными участниками, так и у одного и того же человека. Например, если мы измеряем размер мышц с помощью ультразвука, то незначительная разница в силе прижатия прибора к коже может привести к разнице в результатах. Биологическая погрешность относится к естественным или случайным вариациям, которые могут возникать у одного и того же человека изо дня в день. Например, измерение 1ПМ в разные дни может давать разные результаты из-за различных посторонних факторов.
Но нас интересует биологическая вариабельность; именно о ней мы часто думаем, видя, как варьируются реакции на тренировки между людьми. Но чтобы оценить истинные биологические различия, мы должны попытаться исключить как погрешность измерений, так и биологическую погрешность, поскольку эти два фактора влияют на диапазон реакций, которые мы наблюдаем в исследованиях. Для этого нужны эксперименты, в которых группа людей проходит программу тренировок, затем на некоторое время прекращает занятия, а затем возобновляет их.
После этого нужно оценить, насколько повторяемыми являются реакции на первую и вторую тренировочную программу. Чтобы измерить восприимчивость к нагрузке, мы должны измерить реакции, выходящие за пределы погрешности используемой нами методики измерения (например, ультразвука для оценки гипертрофии или тестирования 1ПМ ‒ для силы). Это позволит нам исключить погрешность измерения. Наконец, нам нужна контрольная группа, которая не тренируется в течение всего периода времени. Это поможет исключить биологическую погрешность, и мы получим реакцию, обусловленную только биологической вариабельностью.
И наконец появилось исследование, в котором ученые проделали всю эту работу. Давайте посмотрим, что они сделали, к каким выводам пришли и что это значит для вас.
Гипотеза
Авторы выдвинули гипотезу, что у разных участников реакция на программу тренировок будет различной, а у некоторых она будет отсутствовать. Также они предположили, что у каждого отдельного участника реакция на два идентичных периода тренировок будет воспроизводиться (повторяться). Наконец, они выдвинули гипотезу, что между участниками будут и различия в реакции на фазу без нагрузок между двумя периодами тренировок.
Что и как тестировали
Участники
В общей сложности в исследовании приняли участие 55 мужчин и женщин. Подходящие под условия участники были в возрасте от 18 до 40 лет, не имели опыта регулярных силовых тренировок, не занимались систематическими тренировками на выносливость в течение последних 6 месяцев, имели индекс массы тела (ИМТ) от 18,5 до 30 кг/м2 и не принимали противовоспалительные препараты. Исключались те, кто принимал лекарства, способные изменить реакцию на силовые тренировки, или имел состояние здоровья, которое могло ограничить тренировочную нагрузку.
Из 55 испытуемых 28 были случайным образом определены в группу силовых тренировок (СТ), а 27 — в контрольную группу (КОН). В группе СТ трое испытуемых выбыли из исследования в течение первого периода тренировок, а еще четверо — в течение второго периода. В общей сложности в группе СТ завершили исследование 11 мужчин и 9 женщин (возраст 32,9 ± 5,9 лет, рост 174,2 ± 9,7 см, масса тела 78,2 ± 15,3 кг и ИМТ 25,7 ± 3,4 кг/м2), в контрольной группе — 27 испытуемых, 14 мужчин и 13 женщин (возраст 31,4 ± 4,3 года, рост 173,4 ± 10,5 см, масса тела 74,0 ± 15,7 кг и ИМТ 24,8 ± 3,6 кг/м2). Статистически значимых различий между группами не было.
Протокол исследования
После набора участников были проведены предварительные тесты. Затем группа КОН прошла 10-недельную фазу без силовых тренировок, а группа СТ начала первый 10-недельный период силовых тренировок (СТ1). По истечении 10 недель обе группы прошли повторные тесты. Затем группа СТ начала 10-недельный период без тренировок, за которым последовал второй 10-недельный период силовых тренировок (СТ2). Оценка мышечной силы и размера мышц проводилась после СТ1 и СТ2 (рисунок 1).
Рис. 1
В периоды тренировок участники проводили 2 одинаковых занятия в неделю. Они делали по 4 подхода жима ногами, разгибания ног, подъема штанги на бицепс, тяги сидя с упором на грудь и по 3 подхода жима лежа в тренажере Смита. Все подходы были по 8‒10 повторений и выполнялись так, чтобы оставалось 1‒2 повторения в запасе (1‒2ПЗ), за исключением последнего подхода каждого упражнения во второй тренировке каждой недели, который выполнялся до отказа (0ПЗ). Интервалы отдыха между подходами были по 2 минуты
Если количество повторений превышало 10, на следующей неделе нагрузку увеличивали. Если количество повторений получалось менее 8, нагрузку уменьшали. Все тренировки проходили под наблюдением исследователей. Во время перерыва в тренировках испытуемым было предписано вести привычный образ жизни и воздерживаться от силовых тренировок и любых высокоинтенсивных физических нагрузок. Соблюдение предписаний проверялось с помощью анкет по физической активности и переписки по электронной почте.
Измерения
-
Площадь поперечного сечения мышц (ППС). ППС латеральной широкой мышцы бедра (ЛШМ) и двуглавой мышцы плеча (ДП) оценивалась с помощью ультразвукового исследования в B-режиме. Все изображения были получены одним и тем же опытным техником не менее чем через 48 часов после тренировки.
-
Мышечная сила. Оценивалась с помощью тестирования 1ПМ в жиме ногами и подъеме на бицепс. Перед тестированием испытуемые выполняли стандартную разминку, после чего постепенно увеличивали нагрузку, чтобы определить 1ПМ. Перерывы между попытками составляли 3 минуты. Обычно требовалось 3‒5 попыток.
-
Выявление индивидуальных различий. Индивидуальные различия оценивались путем сравнения реакции на тренировку в группе СТ и контрольной группе. Если стандартное отклонение индивидуальных реакций (квадратный корень из разницы дисперсий группы СТ и КОН) было больше 0, это указывало на различия, обусловленные адаптацией к тренировкам, а не ошибкой измерения или биологической ошибкой. Также было рассчитано минимальное обнаруживаемое изменение (МОИ) для ППСМ и 1ПМ — наименьшее изменение, которое показывает статистически значимый ответ на тренировку. Участник классифицировался как «неотзывчивый на тренировочный стимул», если изменение было ниже МОИ, «отзывчивый» — если изменение было выше МОИ, и «чрезвычайно отзывчивый» — если изменение в 3 раза превысило МОИ в обоих тренировочных периодах.
Что обнаружили?
Индивидуальные и групповые реакции
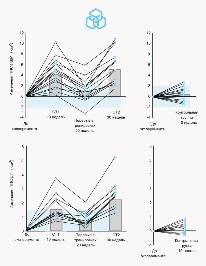
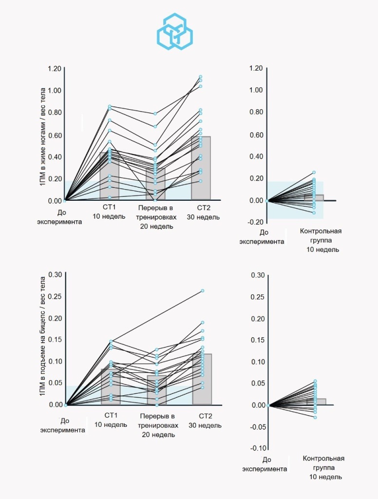
В группе СТ были отмечены статистически значимые изменения всех параметров по сравнению с КОН (табл. 1).
Изменения при сравнении СТ с КОН после 10-ти недель:
-
ППС ЛШМ: 16,0 ± 8,4% против 1,5 ± 4,1%;
-
ППС ДП: 17,5 ± 6,5% против 3,1 ± 2,8%;
-
1ПМ в жиме ногами / вес тела: 21,7 ± 12,6% против 2,9 ± 4,5%;
-
1ПМ в подъеме на бицепс / вес тела: 25,4 ± 19,0% против 4,5 ± 6,2%.
Стандартное отклонение индивидуальных реакций и его квадрат (дисперсия) были больше нуля для всех измеренных параметров. 95%-ные доверительные интервалы (ДИ) везде были больше нуля, что подтверждает наличие значимой индивидуальной вариабельности, выходящей за пределы погрешности измерения или случайности. Дисперсии были следующими:
-
ППС ЛШМ: 5,114 (95% ДИ: 0,947‒9,281);
-
ППС ДП: 0,455 (95% ДИ: 0,117‒0,793);
-
1ПМ в жиме ногами / вес тела: 0,041 (95% ДИ: 0,014‒0,07);
-
1ПМ в подъеме на бицепс / вес тела: 0,001 (95% ДИ: <0.001‒0,002).
На рисунках 2 и 3 представлены индивидуальные результаты и результаты на уровне группы.
Рис. 2. Изменения ППС мышц: левая часть — группа СТ, правая — контрольная группа
Рис. 3. Изменения силы: левая часть — группа СТ, правая — контрольная группа
МОИ для каждой переменной:
-
ППС ЛШМ — 2,135 см2;
-
ППС ДП — 0,528 см2;
-
отношение 1ПМ в жиме ногами / вес тела (кг/кг) — 0,176;
-
отношение 1ПМ в подъеме на бицепс / вес тела (кг/кг) — 0,043.
Корреляции между двумя периодами силовых тренировок
Между двумя периодами СТ наблюдались статистически значимые корреляции для всех переменных (коэффициент корреляции r = 0,671‒0,761), за исключением отношения «1ПМ в подъеме на бицепс / вес тела» (r = 0,383, p = 0,095). Подробнее см. рисунок 4.
Рис. 4. Корреляции между результатами СТ1 и СТ2 в группе СТ. Голубая область — МОИКоличество не отзывчивых на нагрузку испытуемых, у которых в обоих тренировочных периодах результаты были ниже МОИ, было следующим:
-
ППС ЛШМ: пять испытуемых в СТ1, один в СТ2;
-
ППС ДП: ни одного в СТ1, один в СТ2;
-
1ПМ в жиме ногами / вес тела: три в СП1 и два в СП2. У одного участника изменения были ниже МОИ в обоих периодах;
-
1ПМ в подъеме на бицепс / вес тела: три в СТ1, одиннадцать в СТ2. У трех участников изменения были ниже МОИ в обоих периодах.
Ни у одного из испытуемых не было результатов ниже МОИ в обоих периодах по более чем одной переменной.
У пяти испытуемых были экстремально сильные реакции в плане увеличения ППС бицепса: в обоих периодах изменения в 3 раза превышали МОИ. Два экстремальных результата были обнаружены для ППС ЛШМ и один — для 1ПМ в жиме ногами. Один испытуемый продемонстрировал экстремальные реакции как по размеру мышц ног и бицепса, так и по силе ног. Другой продемонстрировал экстремальные реакции по размеру мышц ног и бицепса.
Индивидуальные различия во время перерыва
Статистически значимая корреляция между ростом показателей в период СТ1 и снижением показателей в период отсутствия нагрузок наблюдалась для ППС ДП (r = ‒0,673) и 1ПМ в жиме ногами (r = ‒0,488), см. рис. 5. Для ППС ЛШМ связь не была статистически значимой (r = ‒0,422, p = 0,072). Относительное снижение показателей в период отсутствия нагрузок было более выраженным для размера мышц, чем для силы (ППС ЛШМ по сравнению с 1ПМ в жиме ногами: ‒9,94 ± 4,13% и ‒5,40 ± 4,35% соответственно; ППС ДП по сравнению с 1ПМ в подъеме на бицепс: ‒7,27 ± 3,92% по сравнению с ‒3,56 ± 6,76% соответственно). Эти различия были статистически значимыми.

Рис. 5. Взаимосвязь между относительными изменениями в течение первых 10 недель тренировок (СТ1) и последующим 10-недельным периодом отсутствия нагрузок
Что означают эти результаты?
Между изменениями мышечной массы и силы в периоды СТ1 и СТ2 наблюдалась положительная корреляция, от умеренной до сильной. Это означает, что люди с менее выраженными реакциями в СТ1, как правило, демонстрировали более слабые реакции и в СТ2. Аналогично, люди с более значительным откликом в СТ1, как правило, демонстрировали более выраженные реакции и в СТ2.
Это подтверждает идею о том, что существует индивидуальная реакция на тренировки, которая может повторяться у человека в разные периоды времени, и эта реакция связана с генетикой и/или иными факторами, а не с погрешностью измерения или биологической погрешностью. Насколько известно авторам, это было первое исследование, в котором оценивались различия между показателями каждого участника и между показателями разных участников во время повторных периодов силовых тренировок.
Хотя в каждом периоде СТ были выявлены неотзывчивые по отдельным переменным участники, ни один из испытуемых, идентифицированных как неотзывчивые по одной переменной, не был неотзывчивым еще и по какой-либо другой переменной. Другими словами, неотзывчивый по размеру бицепса не был неотзывчивым по размеру латеральной широкой мышцы бедра. Кроме того, по размеру мышц никто не был идентифицирован как неотзывчивый в обоих периодах, а по силовым показателям только 20% испытуемых были идентифицированы как неотзывчивые в обоих периодах. Это указывает на то, что истинное отсутствие реакции встречается довольно редко и в результате тренировок почти у всех происходит некоторое увеличение размера и силы мышц, хотя бы небольшое.
Аналогичным образом только 5 испытуемых продемонстрировали экстремальные реакции в обоих периодах СТ, причем только один — почти по всем переменным (кроме 1ПМ в подъеме на бицепс в СТ2). Еще один испытуемый продемонстрировал экстремальные реакции по увеличению размера как мышц ног, так и бицепса. Таким образом, как и в случае с отсутствием реакции, экстремальный ответ, особенно по нескольким переменным, был довольно редким явлением.
Это означает, что люди, которые растут просто от одного взгляда на штангу, встречаются не так часто. Это также означает, что мы не можем определить реакцию на основе только одного периода силовых тренировок (например, одного 10-недельного курса), а также на основе одного параметра, например, размера мышц ног: человек может быть очень отзывчивым в отношении мышц ног и не очень — в отношении других групп мышц. Это также помогает объяснить тот факт, что некоторым людям трудно накачать определенные части тела, в то время как другие группы мышц растут хорошо. У кого-то может быть отличная спина, которая очень хорошо реагирует на тренировки, но ноги могут отставать независимо от того, сколько человек тренируется.
Исследование также показало, что более значительное увеличение размера и силы мышц сопровождалось более значительной их потерей в период без нагрузок. Это позволяет предположить, что те, кто быстро адаптируется, также склонны быстрее терять адаптацию. Данные результаты согласуются с результатами предыдущих исследований [3]. В итоге напрашивается вывод, что существуют устойчивые биологические различия, которые определяют индивидуальную вариабельность в реакции как на тренировки, так и на отказ от тренировок.
В период перерыва в тренировках сила снизилась значительно меньше, чем размер мышц, что согласуется с результатами предыдущих исследований [4]. Это неудивительно, поскольку известно, что нейронные адаптации, влияющие на силу, сохраняется даже при снижении мышечной массы [5].
Сильной стороной данного исследования являются повторяющиеся программы тренировок, а также наличие контрольной группы. К ограничениям относится небольшой размер выборки, хотя масштаб наблюдаемых изменений был сопоставим с более крупными исследованиями. Еще одно ограничение — то, что испытуемые не были тренированными, поэтому результаты могут не распространяться на тренированных людей. Кроме того, продолжительность периодов тренировок и периода без нагрузок была относительно короткой (10 недель). Наконец, хотя исследование продемонстрировало индивидуальную реакцию на тренировки, оно не дало никакой информации о механизмах, лежащих в основе этой индивидуальной реакции (генетика, внешние факторы и т. д.).
Как применить эти данные на практике?
Вероятно, существует врожденный биологический компонент, определяющий, как ваше тело реагирует на тренировки в плане изменения силы и размера мышц. Одни люди реагируют на тренировки лучше, чем другие, и, вероятно, вы мало что можете с этим поделать. Конечно, есть некоторые вещи, которые вы можете попробовать (например, повышение тренировочного объема способно помочь расти нереагирующим мышцам), но к радикальным изменениям вашей реакции они, скорее всего, не приведут.
Не все рождены бодибилдерами или пауэрлифтерами. Некоторые люди, независимо от того, насколько усердно и последовательно они тренируются, никогда не достигнут таких же результатов, как другие. А некоторые, хотя их и немного, будут реагировать на нагрузки очень сильно, даже если тренируются «неправильно».
Но есть и хорошие новости! Отсутствие реакции на тренировки встречается крайне редко. Практически каждый человек, приступивший к тренировочной программе, получит некоторое увеличение размера и силы мышц. Таким образом, каждый может ощутить преимущества силовых тренировок, даже если у некоторых никогда не будет достаточной реакции, чтобы выйти на бодибилдерскую сцену или пауэрлифтерскую платформу.